COIDA:  Reporting Details used for the Annual Return of Earnings {FPRY-10}

This option is applicable to South African clients only.
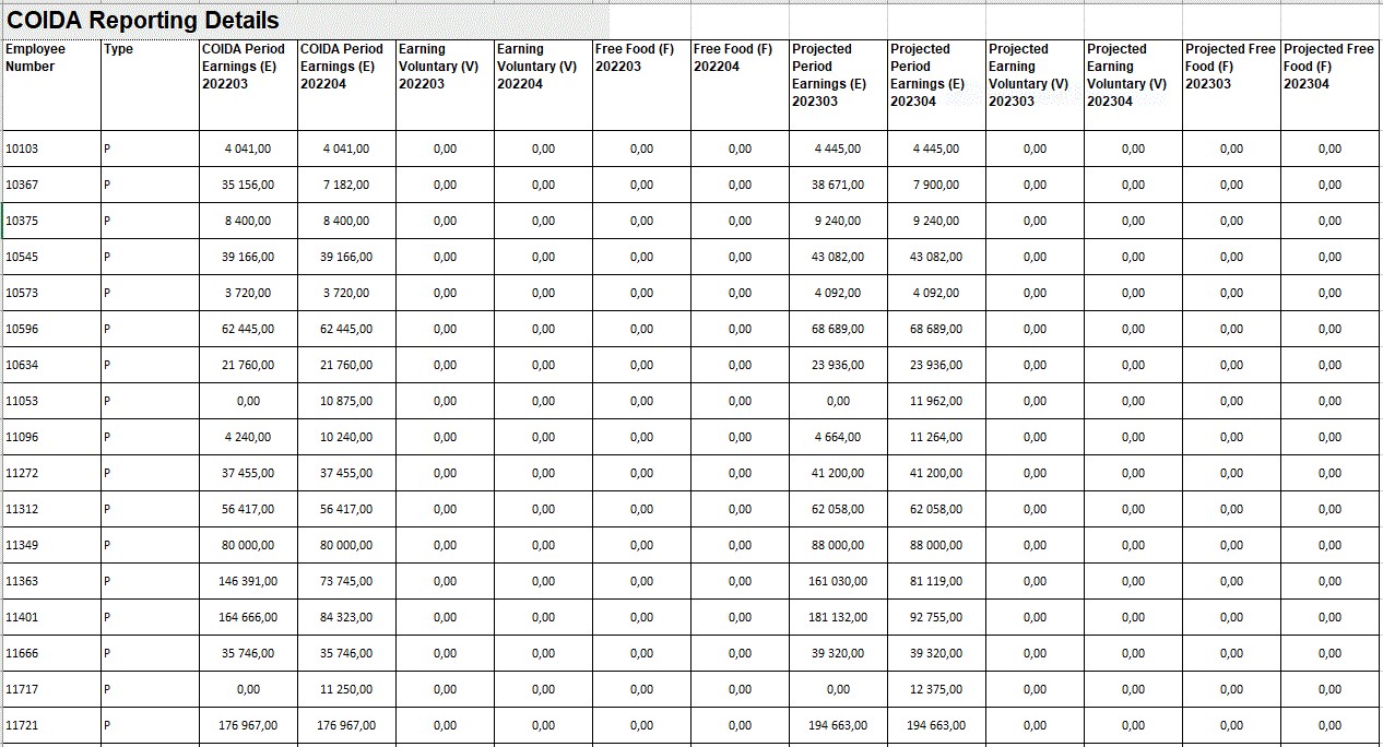
This Jasper report provides the user with the functionality (for validation and audit purposes) to view the detail that was used when calculating the COIDA: Return of Annual Earnings report totals per cycle.
The reporting period is determined by event 'Y' in {FPRM-2}



Prerequisites:



Field Type
&
Length
Description
Navigation Panel Buttons  Displays the following buttons
  • Run (Report) - Selected once all parameters have been completed.
  • Previous Page / Next Page - assists to view pages generated in the report.
  • Export To: Displays the the document styles to which a report may be exported to.
  • Export: the report following the successful completion of the 'Run'. The template on the right hand side of the form will populate.


No Batch prompts are used, just run the report.

Field Type
&
Length
Description
 
   

Template Populated after run has been selected

Example:

Job Profile TemplateJob Profile Template

Rules for running the report.


Field Type
&
Length
Description
Parameters No Batch prompts to complete just run the report.
Export Format Drop down Select document format required e.g. .pdf, .xlsx etc.
RUN The report output will be displayed on the screen, the scroll bar on the right, in addition to the 'Previous Page' and 'Next Page' Buttons may be used for viewing.
Export Select the format required - Open or Save. To print a report, reports must be exported first an then printed.







See Also:



History of Changes

Date System Version By Whom Job Description
16 Jun 2022 v04.1.0.0 Allie de Nysschen t255455 New Coida Reporting development